
1. 深空天體 Deep-Sky Objects - 星系
哈柏序列是哈柏在1926年提出的星系型態分類法。將大部分的星系分為三類 - 橢圓星系、透鏡星系和螺旋星系,第四類則是看起來形狀不規則的不規則星系。

橢圓星系
特徵:光滑、沒有特徵的光度分佈和橢圓形的外觀
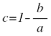
分辨類型:橢率的定義是
例子: M49 、M59、M60、M87和NGC 4125


Fig. M49
螺旋星系
特徵:
平坦的碟型和由恆星組成的螺旋臂結構 (通常是兩條旋臂),在中央有恆星聚集而凸起的核球。
分辨類型:
Sa (SBa) – 旋臂緊繞和平滑,有巨大與明亮的核心。
Sb (SBb) – 旋臂緊繞度的程度不如Sa (SBa),核心有些較暗淡。
Sc (SBc) – 旋臂鬆散,可以清楚的分辨星雲和星團;核心更小也更暗淡。
例子(正規螺旋星系):M31、M47、M81、M104、M51a、NGC 300和NGC 772。




Fig. M104(闊邊帽星系)
Fig. M51a(渦狀星系)
例子(棒旋星系):M91、M95、NGC 1097、NGC 1300、NGC 1672、 NGC 2536、NGC 2903
Fig. NGC 2903
Fig. M91
透鏡星系S0
特徵:明亮的核球,類似前述的橢圓星系,但有延伸的碟狀結構環繞著。
合併:透鏡星系和螺旋星系曾經被合併在一起,統稱為圓盤星系。
例子:M85、M86、NGC 1316、NGC 2787、NGC 5866、半人馬座A。


Fig. NGC 5866 (紡錘星系)
Fig. M85
不規則星系
定義:沒有規律的結構(既不是橢圓也不是碟狀)
分類:
Irr I:星系的外觀不對稱,並且缺乏中央的核心或明顯
的螺旋結構;取代的是只有年輕的恆星各自集結成團。
Irr II:星系是平滑的,但是外觀不對稱,並且不能清楚
分辨出恆星或是恆星的集團。
例子有:M82(雪茄星系)、NGC 1427A、大麥哲倫雲、小麥哲倫雲。


Fig. M82
Fig. 大麥哲倫雲

